kiayun手机版登录app游戏登录入口.手机端安装.cc 为什么要使用卷积
怎么去解释卷积这个名词呢,“卷”到底是什么含义呢,以及“积”又有着怎样的意思呢 ?
卷积之中的“卷”,所指的乃是函数的翻转,即从g(t)转变为g(-t)的这一过程,与此同时,“卷”还存在着滑动的那种意味在其中,此乃吸取了网友李文清的建议。要是将卷积翻译为“褶积”,那么这个“褶”字便仅仅只有翻转的含义了。
卷积的“积”,指的是积分/加权求和。
在图像处理这个范畴里,卷积处理所产生的结果,实际上就是将每个像素周围的,哪怕是包含整个图像的像素都一一纳入考量,而之后针对于当前像素展开某种加权处理。如此一来,所谓的“积”是一种全局意义的概念,或者可以说是呈现出一种状如“混合”的情形,将两个函数于时间或者空间方面进行混合 。
实施“卷”(翻转)这一行为的目的实际上是施加一种约束,该约束规定了在“积”的时候所依据的参照是什么 。
在空间分析的场景,它指定了在哪个位置的周边进行累积处理。
2. 卷积背后的意义是什么,该如何解释?
图像处理
把一幅表示为f(x,y)的图像输入进去,经由经过特定设计而形成的卷积核g(x,y)来开展卷积处理,之后输出的图像便会出现模糊、边缘强化等各种各样的效果。
卷积的意义:
在图像处理中,卷积处理的结果,其实就是把每个像素周边的,甚至是整个图像的像素都考虑进来,对当前像素进行某种加权处理。所以说,“积”是全局概念,或者说是一种“混合”,把两个函数在时间或者空间上进行混合。
那为何要开展“卷”呢?开展“卷”(翻转)的意图实际上是施加一种约束,这种约束规定了在做“积”时以什么作为参照,在空间分析的情景里,它规定了在哪个位置的周边进行累积处理 。
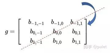
针对图像的处理函数,像是进行平滑操作,又或是开展边缘提取工作,同样能够借助一个g矩阵予以呈现,情形如下:
注意,我们在处理平面空间的问题,已经是二维函数了,相当于:
那么函数f和g的在(u,v)处的卷积该如何计算呢?

首先我们在原始图像矩阵中取出(u,v)处的矩阵:
接着要把图像处理矩阵进行翻转云手机网页版,这个翻转存在特别之处,并非沿着X轴以及Y轴这两个方向去翻转,而是顺着从右上到左下的对角线来翻转,这么做是本着为搭配后面的内积公式的目的,后续呈现如下:
可对比下图:

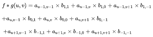
计算卷积时,就可以用和的内积:

以上公式存在一个特性开·云体育app下载安装,进行乘法运算的两个相对应变量a、b的下标之和皆为(u、v),其意图在于针对这种加权求和予以一种限制。这亦是为何要把矩阵g予以翻转的缘由。以上矩阵下标之所以如此书写,且进行了翻转kia云手机版登录,是为了能让大家更明晰地瞧见跟卷积的关联。这般做的益处是利于推广,也利于领会其物理含义。实际于计算之际,均是采用翻转之后的矩阵,直接求取矩阵内积便可。
接下来对(u,v)处的卷积所作的计算,是沿着x轴或者y轴进行滑动,借此能够求得图像中不同位置的卷积,将其输出结果展现为处理以后图象(也就是经过了诸如平滑、边缘提取等一系列各种处理的图象) 。
倘若再进一步认真深入地去进行一些相对深邃的思考,随后当我们在着手计算图像卷积之际,我们把目光聚焦到原始图像矩阵之上,从中选取了处于(u,v)这个位置处的矩阵,但是这个选取行为背后有着怎样的缘由呢,为什么一定要去取这个具体位置的矩阵呢,实则从本质层面来讲,这是为了能够切实满足上述所提及的那些约束条件。这是因为,我们当下要去完成对(u,v)处的卷积计算工作,然而需要知晓的是,g矩阵是呈现为3x3样式的矩阵,当我们进一步去考量时,要使得下标与这个3x3矩阵进行相加之后的结果恰好是(u,v),那么在这个时候,唯一可行的办法就是去选取原始图像当中以(u,v)作为中心的那个3x3矩阵,也就是如同图中所展示的阴影区域那样呈现态势的矩阵。
将其推广开来,要是g矩阵并非3x3,而是6x6,那么我们就得在原始图像里选取以(u,v)作为中心的6x6矩阵来展开计算。由此能够明白,这种卷积是把原始图像里相邻的像素统统纳入考量,予以混合。相邻区域的范围由g矩阵的维度所决定,维度越大,涉及到的周边像素数量就越多。而矩阵的设计,决定了这种混合输出的图像与原始图像相比较,到底是变得模糊了,还是更加锐利了。
举个例子,像下面这样的图像处理矩阵,会致使图像变得更加平滑,看起来更模糊,这是由于它对周边像素开展了平均处理:

接下来,会有这样一个图像处理矩阵,它将会为像素值发生明显改变的区域带来更显著的变化,以此来强化边缘,与此同时,对于那些变化较为平缓的区域而言,它是不会产生任何影响的,最终借此达成提取边缘的目标,这般情况之下: