kiayun手机版登录.v1008.点进白给你1888.中国 牛顿第二定律是力和运动的“桥梁”,学习加速度应掌握4个关键点
在《自然哲学的数学原理》这本书里,于“公理或运动的定律”这一部分,牛顿提出了“运动的定律”且进行了论述,而这便是牛顿三大定律的来源之处。牛顿第一定律也就是惯性定律,其表述为:每个物体都会持续维持其静止状态,或者沿着一条直线做等速运动的状态,除非有外力施加于它,迫使它去改变这种状态 。牛顿第二定律如下:运动的改变与所施加的动力成正比例关系,并且这种改变发生在所施加力的那个直线方向上 。牛顿第三定律,也就是被称作作用和反作用定律的,表述为,每一个作用,总会有一个与之对抗的相等反作用,或者说,两物体彼此间的相互作用,始终是相等的,且各自朝着对方指向 。

牛顿第二定律
加速度的定义
速度的变化量和发生该变化所用时间的比值是加速度,加速度的方向跟于速度变化量的方向相一致,加速度属于矢量,既有大小又有方向,加速度主要在经典物理里应用,通常用字母a来表示,在国际单位制里的单位是米每二次方秒(m/s2) 。

汽车运动有加速度
于经典力学里,牛顿第二定律所表明的是 “力和加速度成正比”,此定律又被称作 “加速度定律”。倘若物体的合外力为零,那么加速度即为零,速度便为常数。动量乃是质量与速度的乘积,符合动量守恒。
几种常见的运动的加速度
一、匀速直线运动——加速度0
物体处于同一直线且以相同速率运动之际,加速度变为零,此时速度不会有任何改变,即大小与方向均保持不变。存在特殊情形,要是速度为零,并且加速度也为零,那么质点就处于静止状态。

匀速直线运动
二、匀变速直线运动——加速度恒定
经过匀变速直线运动时,加速度要维持恒定,也就是加速度的大小以及方向都不会改变。针对于一个物体来讲,当加速度方向跟初始速度是相同的时候,物体做匀加速运动;当加速度方向和初始速度相反时,物体做匀减速运动。

匀变速直线运动的速度时间图和位移时间图
物体做自由落体运动时,其显示相应的特点,初速度是为0的状态哦,而加速度呢,始终恒定为朝着竖直向下方向的重力加速度g 。自由落体运动此种情况呀,属于匀变速直线运动里的一种特殊情形呢。它还是一种理想化的抽象模型哟,当物体处于地面附近这个位置时,并且所受到的空气阻力远远小于它自身重力的时候呀,这样的物体就能够被视之作自由落体运动啦。

牛顿被苹果砸中,在深思中
三、简谐运动——加速度符合正弦或余弦函数
在简谐振动里,物体进行的运动加速度与正弦或余弦函数相契合,在生活当中,恒定加速度会受到刚性冲击,要是驾驶汽车以恒定加速度开始起步kiayun手机版登录,人会觉得非常难受,乘坐的电梯倘若加速度符合正弦曲线,那么人不会受到冲击,这样的电梯很受人们的欢迎,有些电梯采用恒定加速度来加速kiayun手机版登录下载,在开始启动的那一瞬间,会感觉抖动。

简谐运动
加速度的4个关键点
一、物体加速度与初速度方向不同,则运动形式不同
当加速度方向与运动方向处于同一条直线之上的时候,物体进行直线运动;当加速度方向跟初始速度方向形成一定的夹角(并非直角)之际,物体做曲线运动;当加速度方向始终跟速度方向呈90度的时候,物体做圆周运动;当加速度方向与初始速度方向构成直角时,加速度的方向以及大小保持不变,物体做“类平抛运动或者平抛运动”。

平抛运动
二、加速度的5种计算及注意事项
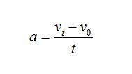
1.加速度的任意计算式
加速度任意计算式
留意此公式适用于任意计算式子当中,于解题之际极少会被运用到,然而却需从加速度的概念层面上去领会它,这个计算表示、速度的变化数量以及加速度的方向是一样的 。
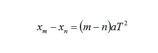
2.匀变速直线运动中的加速度计算

匀变速直线运动中加速度计算式
留意,该计算式只适用于加速度恒定不变的运动里,然而却不包括自由落体那种运动类型,此式子属于一个用来计算既有大小又有方向物理量的公式,要对开始时的速度以及结束时的速度方向是不是相同给予考量。
3.牛顿第二定律的加速度计算
牛顿第二定律中加速度计算式
在高中课程里,该计算式主要适用于受恒定力作用的情况,且此力为合力大小,牛顿第二定律是力与运动相联系的桥梁,借助牛顿第二定律能够将物体受力大小与物体运动速度联系起来,如此便可以把物体动能、能量转化、物体做功、物体所满足的动量守恒定律等联系起来。
4.匀速圆周运动的加速度计算

圆周运动中加速度计算式
注意,那个计算式适用于匀速圆周运动,而且计算的仅仅是法向加速度的大小,法向加速度主要是用来改变速度的方向,加速度的方向是不断发生变化的,加速度方向时刻垂直于速度方向,该公式在万有引力以及带电粒子在磁场中的运动里应用较为广泛,应注意选择合适的式子,要根据题目的已知条件,也就是速度、半径、角速度和运行周期来选择合适的式子进行计算。
5.加速度的特例——重力加速度
于高中物理范畴里,加速度属于一个特殊例子,在大多数情形之下,假设重力加速度保持不变,地球上物体的重力加速度乃是物体所受的万有引力予以提供的 。

重力加速度的近似计算
依据万有引力可知,地球表面的重力加速度大致等同于万有引力常数与地球质量相乘之积再除以地球半径的平方缘故,所以于地球表面的某一区域重力加速度近乎为恒定数值。在碰到重力加速度时选取恒定值就行,不要跟其他运动情形的加速度混淆在一起。
三、加速度,矢量合成,矢量分解,遵循平行四边形法则,同时遵循三角形法则。
加速度属于矢量这一范畴,它进行合成以及分解的时候,是需要对大小与方向加以综合考量。处于光滑水平面上时,针对朝前运动的物体施以不同方向上面的加速度,那么该物体的速度就将出现变化的状态(这变化涵盖大小以及方向两个方面)。加速度方向存在着差异的请况下,物体所呈现出的运动情形也会有所不同。与之相类似的是,力的大小出现不一样的情况时,所引发的加速度也会有所区别,最终所产生的结果更是不一样,这种情况能够借助矢量的叠加理论来进行观察分析。加速度的叠加以及分解分别是遵循平行四边形法则以及三角形法则的。加速度之所以能够形成是由于力所产生的作用,它的合成与力的合成在性质方面是相似的。

加速度的合成和力的合成类似
四、加速度的3种测定方法
方案一:利用打点计时器测加速度
这个方案是直接直接从教材那儿来的,它是基础类型的那种。借助打点计时器打出纸带之后,能够用刻度尺去测量出X。每打一个点的时间是0.02秒,依据这个就能算出T。

打点计时器测加速度计算式
借助这个公式能够去计算加速度,该方案的重点在于得明白公式里各个量的意义,x是处于连续相等时间间隔的位移,m、n是下标它所指的是第几段位移开·云体育app下载安装,T是两个记数点之间的时间间隔,要是两个记数点之间存在5个计时点,那么T等于0.1s 。
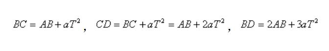
2010年重庆的第22题,有一位同学运用打点计时器去测量做匀加速直线运动物体的加速度,电源频率是f等于50Hz,在纸带上打出的那些点当中,选出了零点,每隔4个点选取1个计数点,由于保存的方式不当,纸带被污染了,就像22图1所呈现的那样,A、B、C、D是依次排列的4个计数点,仅仅能够读出其中3个计数点到零点的距离。
利用打点计时器测加速度实验纸带打点记录
①相邻两计数点的时间间隔为__________S
②在打C这一点之际, 物体的具备的值为速度大小的方面是____________的(是取值在2位有效数字范围之内的)m/s度的数值 ,。
③物体的加速度大小为__________
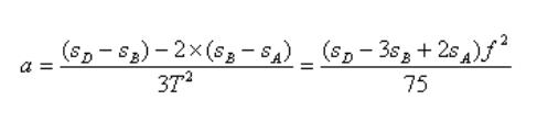
对③进行解析,匀加速运动的位移具备这样的特征,那就是在相邻的、相等的时间间隔之内的位移,会以aT2这样一种方式均匀增大,这里存在着这样一种情况,有。

位移、加速度和打点计时器的打点周期的关系式
依照两相等间隔时间之内,相邻的位移之差跟加速度的关联所达到的情况,能够推导得出 。

加速度最终推导的式子
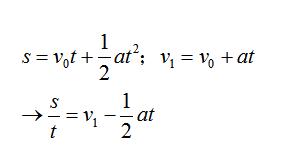
方案二:利用基本公式测加速度
借助基本公式进行变形,运用刻度尺、秒表、光电门等工具,测量出位移x,测量出时间t,如此一来便能够测出加速度,此即该方案 。
(2011年高考·重庆理综卷),有个同学设计出了如图3那样的装置,借助米尺、秒表、轻绳、轻滑轮、轨道、滑块、托盘以及砝码等等这些器材,去测定滑块跟轨道之间的动摩擦因数μ 。滑块上面以及托盘上面分别放置了若干砝码,滑块的质量是M ,滑块上砝码的总质量是m′ ,托盘和盘里砝码的总质量是m 。在实验里,滑块于水平轨道上从A到B做初速度为零的匀加速直线运动,重力加速度g取10m/s2 。

利用基本公式测加速度实验
为对滑块的加速度a予以测量,得测出其在A、B之间运动的位移以及时间,用于计算a的运动学公式是什么___。
解析:(1)滑块于水平轨道之上,自A出发朝向B行进,其做的是初速度为零的,匀加速直线运动 。

利用基本公式测加速度式子
通过前面那个式子,能够算出加速度的大小,所要测量的仅仅是位移以及时间。
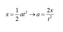
方案三:图像法测加速度
这个方案借助数学函数图像呈现的直观性状用来测定加速度,总体上采用的是一次函数的斜率这种方式。像是v-t这样的图像,通过运用公式V=V0+at并跟形如y=kx+c的一次函数进行对照比较,从而得出a=k的结果;还有s/t-t图像,它也是按照类似的方式来进行相关测定的。

图像法测加速度等式
上述式子跟一次函数y=kx+c对比得a=2∣k∣。
于2011年高考之时,考测地域为广东,理综卷子当中有之,图5展现出来的乃是,在“研究匀变速直线运动”这个实验里面所获取到的,一条纸带,其上存在着O、A、B、C、D以及E这六个计数点,加速度大小是以a来进行表示的。
那(2)当中的图呢,是依据实验所得到的数据进而绘制出来的s-t2图线哦,这里面的s指的是各个计数点到同一个起点的距离呢,它的斜率所表示的含义是什么呢,其大小又是多少m/s2呀,要保留三位有效数字哦。

图像法测加速度
解析:(2)加速度呈现一半的状态,其数值1/2a等于k,而k的值为0.467,所以由此可得出a的值为0.933m/s2 。
结语
学习加速度专题,要从加速度定义着手,要对加速度对运动形式的影响展开学习,要充分了解加速度的计算,要深入知悉加速度的矢量合成,加速度乃速度变化量与发生此变化所用时间的比值,加速度方向与速度变化量方向一致,物体加速度与初速度方向各异时,运动形式有别,加速度在匀速直线运动、匀变速直线运动、匀速圆周运动、平抛运动或类平抛运动里的计算存在差异,加速度的矢量合成与分解遵循平行四边形法则以及三角形法则。加速度的3种测定方法。
参考资料
人民教育出版社普通高中课程标准试验教科书《物理》必修一。