kia云手机版登录 【CNN】很详细的讲解什么以及为什么是卷积(Convolution)!
点击上方“小白学视觉”,选择加"星标"或“置顶”
重磅干货,第一时间送达
1、对卷积的困惑
曾经在很早之前就学习过卷积这个概念,不过一直都没弄明白,教科书通常会给出定义,会给出众多性质,还会运用实例跟图形来进行解释,然而到底为何要如此设计,如此计算,其背后的意义是什么,常常说得不清楚;作为一个有学物理背景出身的人而言,要是一个公式给不出结合实际的直观通俗解释,也就是背后的“物理”意义,就会感觉缺了些什么,觉得不是真正弄明白了,。
通常情况下,教科书之中,对于函数f、g的卷积f*g(n)的这般定义是用以下方式给出的:
连续形式:
离散形式:
并且,还做出了解释,首先针对g函数实施翻转操作,这等同于在数轴之上,将g函数从右侧挪移并褶合至左侧区域之间,而这恰好就是卷积的“卷”这一概念的由来所在了。
接着将g函数朝着n进行平移,于这个特定位置把两个函数所对应的点相乘,随后相加,此过程即为卷积的“积”的过程 。
这仅仅是针对于计算方式角度而言,对公式展开了解释,就数学范畴来讲毫无破绽,然而进一步予以追问,为何要先行展开翻转之举,而后才作平移之动,这般的设计存有怎样的意图呢?依旧略微带着些费解的意味 。
在知乎,不少热心网友针对卷积给出诸多形象例子予以解释,像卷地毯、丢骰子、打耳光、存钱之类。读完后觉着极为生动有趣,然而仔细思索一番,却仍感觉某些地方仍旧未阐释清晰,甚至或许存在瑕疵,又或者能够加以改进(后续我会针对这些展开一些分析)。
怀着疑问思索了两个夜晚,最终感觉有些疑问被想透彻了,因而就将其撰写出来与网友予以分享,一同学习进步。不正确的地方欢迎给予评论批评指正。 。 。
明确一下,这篇文章主要想解释两个问题:
对于卷积这个名词该如何去进行解释呢,所谓的“卷”究竟意味着什么呢,而其中的“积”到底又有着怎样的含义呢?
2. 卷积背后的意义是什么,该如何解释?
2、考虑的应用场景
为了更好地理解这些问题,我们先给出两个典型的应用场景:
1. 信号分析
有一个以f(t)作为输入的信号,经过一个其特征能够用单位冲击响应函数g(t)来描述的线性系统之后,那输出信号会是什么呢?实际上借助卷积运算便能够得到输出信号。
2. 图像处理
将一幅图像f(x,y)输入进去,通过经过特定设计的卷积核g(x,y)来进行卷积处理,在处理之后,输出的图像就要会得到模糊、边缘强化等各种各样的效果。
3、对卷积的理解
对于卷积这个名词的认知是这样的,所说的两个函数相卷积,从本质上来说,就是先把其中一个函数进行翻转操作,之后再开展滑动叠加的行为 。
于连续情形时,叠加所指的便是针对两个函数的乘积去求取积分,在离散情形下那便是加权求和,鉴于此为了简单方便起见,于是就将其统一称作叠加 。
整体看来是这么个过程:
使其翻转,接着进行滑动,随后予以叠加,之后又进行滑动,再接着予以叠加,之后再次进行滑动,然后再进行叠加.....
多次滑动得到的一系列叠加值,构成了卷积函数。
卷积之中的“卷”,所指的乃是函数的翻转,即从g(t)转变为g(-t)的这一过程,与此同时,“卷”还存在着滑动的意味蕴含其中(此为吸取网友李文清的建议),要是将卷积翻译作“褶积”,则这个“褶”字就仅仅具备翻转的含义了 。
卷积的“积”,指的是积分/加权求和。
存在一些文章,仅仅着重于滑动叠加求和,却并未提及函数的翻转,我认为这样是不全面的,那部分篇章,对于“卷”的理解,实际上是“积”,我认定这属于张冠李戴。
对卷积的意义的理解:
从“积”的过程能瞧见,我们所获取的叠加值,属于全局的理念。拿信号分析来说,卷积的成果不但跟当下时刻输入信号的响应值存在关联,还跟过往所有时刻输入信号的响应均有关系,考量了对过去所有输入效果的累积。于图像处理里,卷积处理的结果,实际上就是将每个像素周边的,乃至整个图像的像素都纳入考量,针对当前像素开展某种加权处理。因此可以这么讲,“积”属于全局范畴内的概念,或者换句话来说,它是一种“融合”,是将两个函数于时间方面或者空间层面展开融合 。
2. 那么为何要开展“卷”呢?直接做乘法难道不行吗?依我之理解,开展“卷”(翻转)的意图实际上是施加一种限定,它明确了在做“积”的时候依据什么来参照。在信号分析的情形下,它明确了在哪个特定的时间点的前后去开展“积”。在空间分析的情景里,它明确了在哪个位置的周边进行累积处置。
4、举例说明
下面举几个例子说明为什么要翻转,以及叠加求和的意义。
例1:信号分析
如图所示,输入信号为f(t),其是随时间变化的,系统响应函数是g(t),图中的响应函数随时间呈指数下降,其物理意义表明,若在t = 0时刻存在一个输入,那么随着时间推移,该输入会持续衰减,也就是说,到了t = T时刻,原本在t = 0时刻的输入f(0)的值会衰减成f(0)g(T) 。

鉴于信号是以连续的方式输入的,这意味着,在每一个时刻都会有新的信号进入,所以,最后的输出呈现的是所有先前输入信号所产生的累积效果。如下方图示所展现的那样,在T等于10这个时刻,输出的结果与图里带有标记的区域整体存在关联。其中,f(10)由于是刚刚输入的,所以它的输出结果应当是f(10)g(0)kia云手机版登录,而时刻t为9时输入的f(9),仅仅经历了1个时间单位的衰减,所以产生的输出理应是f(9)m(1),依此类推,也就是图中虚线所描绘的那种关系。将这些对应点进行相乘操作,之后再对其进行累加,所得到的结果乃是T等于10时刻的输出信号数值,而且这个结果同样是f与g这两个函数于T等于10时刻的卷积数值。

显然,上面那种对应关系,看上去相对比较难看,并且是拧着呈现的,所以,我们将g函数进行对折操作,使其变为了g(-t),如此一来,看上去可就略显得好看一些了。瞧见了没?这便是为何卷积中会有“卷”,会存在翻转这种情况的缘由,这是依据其物理意义而得出的 。

上面的图,尽管看上去没有拧着,已然顺过来了,可是看起来仍存在些许错位,因而再往更进一层平移T个单位,如此便成了下面的图。它就是在本文起始给出的卷积定义的一种关于图形的表述:

所以,于上述计算T时刻的卷积之际,需维持的约束便是:t加上(T减去t)等于T 。此种约束的意义,大家能够自行去体会 。
例2:丢骰子
关于本问题,也就是那个如何通俗易懂地 去解释掉卷积的问题里,排名处于首位的马同学所提到一个很好例子,下文中的一些图是 源自于马同学的文章摘取到此这儿得表示心怀深深谢意,其运用丢骰子这种方式 对卷积的应用作出了说明 。
现存在一个需要去解决的问题,此问题内容为,存在两枚骰子,这两枚骰子都进行抛投的动作,在抛投之后,需要知晓这两枚骰子各自所呈现的点数相加之和为4的概率究竟是多少 ?

细究起来,存在着这样的状况,即两枚骰子所呈现的点数加起来成为4的情形有三种,分别是,一种是1加上3其结果等于4,还有一种是2加上2其结果等于4,另外一种是3加上1其结果等于4 。
因此,两枚骰子点数加起来为4的概率为:
写成卷积的方式就是:
在这里我想进一步用上面的翻转滑动叠加的逻辑进行解释。
首先,鉴于两个骰子出现的点数之和为4,为了达成这个限制性条件,我们依旧将函数g进行翻转操作,接着把阴影区域上下所对应的数字进行相乘运算,随后进行累加,这等同于求取自变量为4时的卷积值,情况如下列图形所展示的那样:

进而,这般翻转过后,能够便利地予以推广用以求取两个骰子点数之和为n时的概率,此概率为f与g的卷积f*g(n),如同下面这幅图所展示的那样:

从上面的图能够看到,函数g的滑动,会致使点数和增大。在此例子里,对于f和g的约束条件是点数和,它同样是卷积函数的自变量。要是有兴趣,还能够算一算,倘若骰子每个点数出现的概率是_equal几率_一样的,那么当两个骰子的点数和n等于7的时候,概率是最大的。
例3:图像处理
引用知乎问题 如何通俗易懂地解释卷积?里中马同学的例子,图像也能够被表示成矩阵形式,(下图是从马同学的文章里摘取的) 。

用于对图像进行处理的函数,像平滑这种开·云app体育登录入口,或者是边缘提取这类,同样能够借助一个g矩阵予以表示,情况如下:
注意,我们在处理平面空间的问题,已经是二维函数了,相当于:
那么函数f和g的在(u,v)处的卷积该如何计算呢?

首先我们在原始图像矩阵中取出(u,v)处的矩阵:
然后呀,要对图像处理矩阵进行翻转,这个翻转呢有那么点意思,它可不是沿着x轴和y轴这两个方向去翻转的哦,而是沿着从右上到左下的对角线来翻转,这么做是为了去凑后面的内积公式,情况如下:
可对比下图:

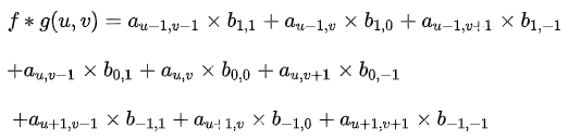
计算卷积时,就可以用和的内积:

请注意,以上公式存在一个特点,做乘法时,两个对应变量a与b的下标之和俱为(u,v),其目的在于对这种加权求和予以一种约束。 这便是要将矩阵g进行翻转的缘由。 以上矩阵下标这般书写,且进行了翻转,是为了能让大家更清晰地瞧见跟卷积的关系。 如此做的好处乃便于推广,亦便于领会其物理意义。 实际于计算之际,皆使用翻转之后的矩阵,直接求取矩阵内积便可。
以上所进行的计算,计算的对象是(u,v)处的卷积,通过延x轴滑动,或者延y轴滑动,进而能够求出图像里各个位置的卷积,而其输出的结果是经过处理以后的图像,也就是那种经过了平滑处理、边缘提取等各种各样处理的图像。
那么,再进一步深入地进行思考,当我们在计算图像卷积的时候,我们所做的是直接于原始图像矩阵当中选取位于(u,v)处的矩阵,可是,为什么要选取这个特定位置的矩阵呢?从本质上来说,实际上是为了能够满足上述所提及的约束条件。原因在于,我们需要计算(u,v)处的卷积,并且,g矩阵是一个3x3的矩阵,要使得下标与这个3x3矩阵的和为(u,v),那么,唯一的方式就只能是选取原始图像里以(u,v)作为中心的这个3x3矩阵,也就是图中阴影区域所对应的矩阵。
顺着这个思路进一步拓展来说,如果g矩阵并非3x3,而是6x6的话,那我们便需要在原始图像里选取以(u,v)作为中心的6x6矩阵来展开计算。像这样可以看出,这种卷积实际上就是将原始图像当中相邻的像素全部考虑进去,进而进行混合操作。相邻的区域范围是由g矩阵的维度所决定的,维度越是大,所涉及到的周边像素也就会越多。而矩阵的设计,决定了这种经过混合输出的图像与原始图像相比较而言,到底是变得模糊了kiayun手机版登录入口,还是变得更加锐利了。
比如说,有这样一个图像处理矩阵,它会让图像变得更加平滑,且看起来更加模糊,原因在于它对周边像素做了平均处理 。

就是这样的图像处理矩阵,它会让像素值变化显著的区域变得更加突出,以此来强化边缘,并且在像素值变化平缓的地方产生不了影响,最终达成提取边缘的目标 。
5、对一些解释的不同意见
上述一些针对于卷积的形象化阐释,像是在知乎问题卷积为什么叫「卷」积?里荆哲所提出的,以及在知乎问题如何通俗易懂地解释卷积?内马同学等诸位所给出的这般比喻:


其实呀,图里面“卷”的那个方向呢,是顺着该方向给进行积分求和的方向哦,并没有那种翻转的意思哒。所以呀,这般解释呢,并没有将卷积的含义完整地描述出来哟,对于“卷”的理解是值得去进行商榷的呢。
6、一些参考资料
《数字信号处理(第二版)》程乾生,北京大学出版社
《信号与系统引论》 郑君里,应启珩,杨为理,高等教育出版社
好消息!
小白学视觉知识星球
开始面向外开放啦
下载1:OpenCV-Contrib扩展模块中文版教程 在「小白学视觉」公众号后台回复:扩展模块中文教程,即可下载全网第一份OpenCV扩展模块教程中文版,涵盖模块扩展安装,SFM算法,立体视觉呈现,目标跟踪行为,生物视觉现象,超分辨率处理操作。等二十多章内容。 下载2:Python视觉实战项目52讲 在「小白学视觉」公众号后台回复:Python视觉实战项目,即可下载包括把图像进行分割,对口罩展开检测,给车道线做检测,为车辆开展计数,给添加眼线这项操作,对车牌展开识别,对字符予以识别,对情绪进行检测,开展文本内容提取工作,对面部进行识别 。等31个视觉实战项目,助力快速学校计算机视觉。 下载3:OpenCV实战项目20讲 在「小白学视觉」公众号后台回复:OpenCV实战项目20讲,即可下载含有20个基于OpenCV实现20个实战项目,实现OpenCV学习进阶。 交流群
欢迎加入公众号读者群一起和同行交流,目前有SLAM、三维视觉、传感器、自动驾驶、计算摄影、检测、分割、识别、医学影像、GAN、算法竞赛等微信群(以后会逐渐细分),将下面微讯号扫描一下加入群,记着写出: ”昵称 加上空格 学校或者公司 加上空格 研究方向“,像这样:”张三 空格 上海交大 空格 视觉 Slam“ 。请按照格式备注,否则不予通过。添加成功后会根据研究方向邀请进入相关微信群。请勿在群内发送广告,否则会请出群,谢谢理解~


