云手机网页版 既能低频通信、又能高效传输无线电能的新技术!适用于海洋等领域

频道:生活应用 日期: 浏览:9

无线电能跟信息同步传输这项高新技术,能够把电能从发射的一端传送到负载接收之处,与此同时达成数据同步通信,在无线能量传输加密范畴、植入式医疗设备领域、物联网传感器供电等诸多领域有着广泛的应用前景。

无线电能传输的生活应用_基于移相调制的无线电能与信息同步传输技术_无线电能与信息同步传输技术应用领域

研究背景

与无线通信的实现方式相关,那近场耦合式无线电能与信息同步传输技术,主要能分成三大类别,分别是“调制信号注入式”,“独立耦合通道式”云手机网页版,以及“能量调制式”。像在空地太阳能传输、海洋等高电导率富水介质等特别的应用场合里,基于低能量的高频载波的工作通讯方式的可靠性比较低,然而能量调制式的可靠性相对较高。

论文所解决的问题及意义

研究不同频率输入激励之时系统发射线圈的电流特征,提出一种基于移相调制、用于无线电能与信息同步传输的技术。处于通信状态中,进行降低逆变器工作频率的操作建立低频通信载波kiayun手机版登录.v1008.点进白给你1888.中国,借助控制移相角实现信息调制,可以用基波传输信息,利用3次谐波传输电能。本文所提出的方法能够在凭借低频电磁波通信之际达成高效率的无线电能传输功能,在海洋等高电导率介质的场合里具备应用优势。

论文方法及创新点

1)工作在不同频率下时的发射线圈电流特征

无线电能与信息同步传输技术应用领域_无线电能传输的生活应用_基于移相调制的无线电能与信息同步传输技术

图1 不同工作频率发射线圈电流分量构成

高频逆变器处于谐振情形时(这里的谐振频率 fr 等于 150kHz),发射电流主要是基于基波且其幅值是最大的,就如同图 1(a)所展示的那样,当把工作频率降低到 fr 的三分之一时,产生了基波以及别的高次谐波,在这个时候 3 次谐波的分量幅值变为最大,如同图 1(b)呈现的;同样的道理,当把工作频率降低到 fr 的五分之一时,产生了基波和 3 次谐波等其他的高次谐波,此时 5 次谐波的分量幅值成为最大,如图 1(c)所示 。从这里能够看出,降频能够在发射线圈当中产生低频的分量,以此来用于通信,而和系统谐振一样的高频的分量,能够被用于给负载进行供电。

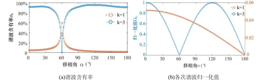
2)移相角对各次谐波的影响分析

基于移相调制的无线电能与信息同步传输技术_无线电能与信息同步传输技术应用领域_无线电能传输的生活应用

图2 移相角α对发射电流中各次谐波的影响

对逆变器工作频率而言,以它是 fr/3这样一种情况为例,来剖析移相角α对于发射电流里基波以及 3 次谐波所产出现的影响,并且可以看到,随着α不断变大的情况下 ,发射电流之中基波含有率σ1先是呈现出增加的态势而后又开始减小,然而σ3却是先减小之后再增大,就如同图2(a)显示 ;凭借图2(b)能够知道,α能够对发射电流之中基波以及 3 次谐波的幅值起到有效的调节作用。所以选择把基波当作通信载波,去控制α针对其幅度实施调制的话就比较便于实现信息的传输,除此之外,为了能够确保功率传输的稳定性,α的选取应该尽可能让 3 次谐波幅值维持不变 。

3)供电与通信之间的串扰分析

接收侧同时接受着基波能量,还接受着 三次谐波能量,这就致使供电与通信回路之间存在着一定的串扰,能够得出,噪声电压峰值远远低于着有效电压峰值,并且经由合理地选取信号检测回路电感参数能够有效地调节噪声电压,进而可实现供电与通信之间的弱耦合控制,就如同图3和图4所展示的那样。

基于移相调制的无线电能与信息同步传输技术_无线电能与信息同步传输技术应用领域_无线电能传输的生活应用

图3 负载回路

无线电能传输的生活应用_无线电能与信息同步传输技术应用领域_基于移相调制的无线电能与信息同步传输技术

图4 信号检测回路

4)实验验证

建造了实验平台来证实所提方案的可行程度,像图5(a)呈现的那样;图5(b)展示出了实验所测量得出的关键波形kiayun手机版登录打开即玩v1011.速装上线体验.中国,信息调制对于负载电压并没有明显的作用,信号电压的幅值包络能够被很好地探测到。另外,在系统相关参数出现改变时(输入电压、负载电阻、耦合线圈相对位置)系统依旧能够维持正常运行,实验结果验证了所提方案的可行性质。

无线电能与信息同步传输技术应用领域_无线电能传输的生活应用_基于移相调制的无线电能与信息同步传输技术

图5 实验平台及实验结果

结论

本文给出了一种基于移相调制的无线电能以及信息同步传输技术,降低逆变器运作频率于此,于发射线圈里生成基波分量当作低频通信载波,借由控制移相角做出信息调制来传递信息,运用3次谐波分量传输电能,搭建的实验平台证实了本文所提方案的可行性,在基于低频电磁波通信之际达成了较高效率的电能传输,在海洋等对于电磁载波频率灵敏的场合中优势显著。

团队介绍

南京邮电大学自动化学院,以及那里的人工智能学院赫兹科技实验室,长久以来一直专注于人工智能技术、通信技术、电力电子技术等诸多跨学科的探究研究。在例如无线能量信息协同传输技术、新能源发电技术、射频功放包络线跟踪电源技术、高频磁芯损耗建模等专门领域,取得了较为出色的研究成果。最近这些年,这个团队完成了好多国家级、省级以及企业的研究项目。

周岩教授是该论文的通讯作者,他是博士生导师,是院长助理,是IEEE PES智能电网与新技术集成应用分委会常务理事,是江苏省智能电网信息工程综合训练中心主任。

2023年第16期《电工技术学报》发表了本工作成果,其论文标题是“基于移相调制的无线供电与信息协同传输技术”,本课题获得了国家自然科学基金以及江苏省自然科学基金的支持。

网友留言(0)

评论

◎欢迎参与讨论,请在这里发表您的看法、交流您的观点。