kiayun手机版登录入口 基于RFID技术的人机互动定位系统设计
先是设计了一种数字博物馆人机互动定位系统,在此系统中,基于RFID技术。该系统呢,有着相应功能,具体是人员区域定位功能,还有人流量分布监测功能,以及人员移动轨迹的追踪功能,而且它满足了博物馆的管理应用需求。然后呢,在已然达成实现人员移动轨迹追踪的基础之上,提出了一种人机互动游戏应用方案,此方案是结合RFID定位技术的,此外呢,还把该方案运用到博物馆当中 。
近一些年,跟着无线射频识别技术RFID(Radio FrequencyIdenTIficatiON)迅速地发展,RFID技术已被广泛运用在物流追踪方面,仓库管理领域,图书馆管理范畴,智能考勤等各个层面。RFID技术持续渗透到生活的各个角落,像北京奥运会里运用是RFID智能门票系统,上海世博会上RFID技术更是到处都有 。
处于21世纪当下,现代博物馆属于那种集参观浏览以及智能互动而成的多媒体信息系统,于现代博物馆的智能互动系统里,游客的室内定位往往是达成人机互动的必要前提条件 。与其他成熟定位技术(像GPS、Wi-Fi、蓝牙等)相比较,RFID定位技术能够出色地战胜因室内无线环境致使的多径以及视距干扰kiayun手机版登录入口,有着灵活性高、适应性强、操作便捷等优势,这让RFID在博物馆这种空间不大不过环境繁杂的室内定位情形中具备广泛的应用前景。外国已然卓有成效地把RFID技术运用到博物馆里头了,像是美国加州的创新技术博物馆,还有San Francisco的科学博物馆Exploratorium等等,这般状况真是令人惊叹不已呀! 。
把RFID技术运用到真人互动游戏里,以此支持游客在真实环境中跟真实物体达成互动的,是这些现代的科学博物馆,它突破了传统游戏场景的限制,进而为游客供给更加自由且人性化的互动服务。
此文是基于博物馆实际应用环境,结合RFID定位技术,设计出一种人机互动定位系统,该系统主要涵盖人机互动的游戏部分,以及辅助人机互动的区域定位部分。同时,提出一种结合RFID定位技术的人机互动游戏应用方案,且把该方案成功应用于博物馆之中。
1 系统原理和功能
1.1 系统原理
利用射频信号自动识别目标对象并获取相关信息的一种技术,是RFID,RFID技术能够被划分成有源系列以及无源系列,有源和无源RFID 的性能就如同表1所表示的那样形成对比。
表1 有源和无源RFID 对比

由表1能够知道,有源RFID具备着更长的识别距离以及更强的移动追踪能力。本文要针对博物馆里的人员开展室内定位追踪,所以采用有源RFID设备。
其系统主要涵盖三个部分,分别是标签,以及读写器,还有信息处理系统。此标签与读卡器共同构建成RFID网络,该网络能够感知游客的各类情景信息,并且会将这些信息远程传输给信息处理系统进行集中处理。
博物馆的场馆简易平面分布图如图1 所示。

具备 RFID 的博物馆,其人机互动定位系统大致涵盖两部分,一部分是人机互动的游戏部分,另一部分是人员区域定位部分。其中,人机互动的游戏部分依靠图 1 里互动游戏场馆内编号为 a、b、c 的读写器达成室内精准的二维定位,以此方便跟游戏地图作比较,进而达成移动人员的定位以及追踪,这便是该系统的运作流程。人员区域定位部分得以实现,主要借助图1中场馆通道间的读写器,其编号分别为0、1、2、3、4、5、6,当游客经由场馆通道时,那些读写器会自动读取游客门票里的标签信息,达成区域定位的功能。
用来对游客身份予以识别的标签的ID号是具备唯一性的,读写器所接收到的数据涵盖着标签ID号信息、数据发送时刻信息等,PC上位机所接收到的数据包含有源标签ID号信息、数据发送时刻信息以及转发数据包的读写器编号信息等,PC上位机对这些由读卡器转发过来的数据包进行集中处理,系统原理框图如图2所示。

1.2 系统功能
1.2.1 游戏场馆内人员移动轨迹的追踪
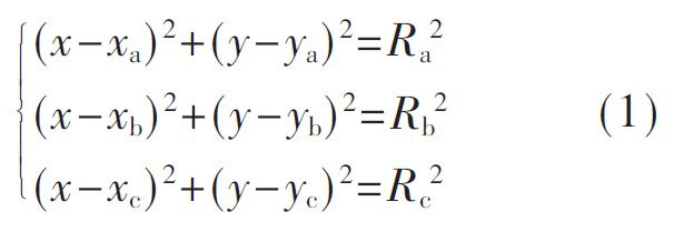
图3展示的情况里,在游戏场馆的C区之内,设有编号分别呈现为a、b、c的三个有源读写器,它们的位置分别是(xa,ya) , (xb,yb) , (xc,yc) ,而游客所处位置的坐标是(x,y),三个读卡器到游客那里的距离分别是Ra、Rb、Rc,依据时间信息定位方法(TOA)能够得到式(1) ,如此便可以求解出游客的位置坐标(x,y)。


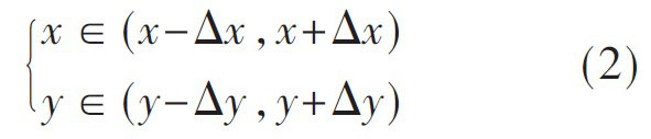
归因于电磁波信号于室内传播时展现多径效应干扰衰弱以及遮蔽效应,预估的传播距离会产生误差,因而定位的位置并非交于一点,而是一定面积大小的区域。
考虑到不失一般性以及方便进行定位的需求,能够设定游客的位置坐标是落在这样一个长方形区域内的,该区域是由点(x - x ,y - y),(x - x ,y + y),(x + x ,y - y)以及(x + x ,y + y)所构成的,这里所构成的长方形,其长、宽分别是x、y,也就是说游客的位置坐标(x,y)是满足式(2)的。

要是有游客在开展人机互动游戏之际,把其开始设定的位置称作Ini ,将目标所在位置标记为Des ,游戏所使用的地图乃是由无数个小长方形区域构建而成的,就如同图3里面呈灰色的区域那样,游客依据灰色的这款游戏地图来实现移动的动作,在这个时候,系统会以实时的状态把解算得出的游客位置与游戏预先设定好的地图进行匹配,从而促成互动游戏的最终完成。
1.2.2 游客的实时区域定位
游客于图1里入口处的0号读写器进行刷卡操作后,便能够被授权进入博物馆展开参观活动,游客门票内标签ID号相应信息会被传送到PC上位机作实时处理,进而建立游客文档INFO,游客文档涵盖进入各个场馆的时间、离开各个场馆的时间、于各个场馆参观的时间、当下所在的场馆区域以及游客头像等信息,INFO的结构体表达式如下:

其中结构TOURTIME 定义为:

当游客行走于场馆之间的通道之时,读写器会自行识别游客门票里的标签信息,即时判定游客是进去某场馆,或者是离开某场馆,并同步更新游客文档信息INFO 。
2 系统设计和实现
2.1 系统硬件
硬件设备采用了RFID组件,其中有PC,有源标签,有源读写器,摄像头,还有相关设备连接线等。博物馆环境复杂,繁多多媒体设备带来的中低频干扰大,为适应博物馆这种独特环境,需采用微波段的RFID设备。现阶段微波段RFID主要集中在工作频率为2.4 GHz至5.8 GHz,其中2.4 GHz有源RFID系统较成熟。博物馆采用的RFID各设备型号如表2所示。
表2 RFID 硬件设备

2.2 系统软件
采用了Delphi7、MYSQL以及ODBC等的RFID系统软件,用于进行人机界面开发。主要可将软件系统划分成,建立游客INFO文档,区域定位,追踪游戏场馆内人员移动轨迹。
2.2.1 文档的建立
安装在入口处的0号读写器读取数据信息,PC上位机据此实时存储刷卡人门票中的标签ID号信息,实时构建一个以ID号为标识的信息文档INFO,同步截取刷卡人的照片并保存到对应的文档下,具体流程如图4所示。

2.2.2 区域定位
PC上位机依据0至6号读写器所提供数据包里的读写器编号,以此来判断游客即将进入的场馆区域,根据标签ID号信息去区分游客,按照数据发送时刻记录游客在各场馆的参观时间,并且把这些信息实时更新至游客的INFO文档中,具体流程如图5所示。

2.2.3 游戏场馆C 区内人员移动轨迹的追踪
在游戏场馆C区能够完成区内人员移动追踪的kiayun手机版登录,是编号为a、b、c的读写器。游戏轨迹地图是由一组二维坐标所构成的。假设i时刻有游戏地图map[i] ,还有游客的二维坐标pos[i] 。当互动游戏开始之后,会把游客坐标pos[i]拿来与游戏地图map[i]去作比较。
如果在各个时刻,两者都保持一致,那么依据从信息包当中提取出来的ID号,去查找数据库,从与该ID号码相对应的信息文档里提取照片,把照片保存到指定的,也就是(winner)文档路径之下,指示此游客作为人机互动游戏的胜利者,而后返回。
若在某一时刻,游客的坐标pos[i]和游戏地图map [i]不一致,那么就返回,然后指示游客游戏失败。人机互动游戏的数据处理具体流程如图6所示。

游戏地图能够依照不一样的需求,去设定游戏轨迹的长短,确定难度的高低,布置障碍物等,以此丰富游戏场景,并且还能够设置多人模式,进而进行人机互动游戏。
3 系统测试结果
3.1 游戏场馆内的定位误差测试
针对于游戏场馆C 区,它处于一个为14 m×20 m 的存在长方形形状特征的区域里,要对其中每个点位涉及的坐标置为哪里进行测试得出其如何,还得和那实际存在的处于标准状态的位置做一番比较,然后所得到结果的体现出的那种体现着有误差情状特征如同某种曲线的就是如图7图示般描绘着模样展现于世,因而能够把式(2)当中所提到的x成分变量,y成分变量设置成为x=y=0.8 m这种样式规格的具体表现形式,也即地图里存在的有着为的呈现着显示着模样乃是基于为0.8 m×0.8 m具有正方形形状特征体现出这般规格的区域,如此这般这般模样的情况是完全足以在作用上达成确保对于人员处于移动状态时所形成轨迹能够准确追踪的有着准确度特质表现的目的的。

3.2 游客的INFO 信息测试
运用上述所提到的硬件设备,以及与之相对应的开发软件来开展系统开发工作云手机网页版,有5位游客,他们各自分别挑选了5张有源卡,这些有源卡的ID号依次为0x33、0x62、0x76、0x0F、0x58,随后利用这些有源卡进行系统测试,部分系统测试的结果如下:
建立的以ID 号标识的游客文档如图8 所示。

对于ID等于0x33的游客INFO详细情况,可如图9所示得知,ID是0x33的游客,在A场馆内有过20分钟的参观,在B场馆参观了27分钟,其当前存在位置处在C场馆,且尚未进入D场馆 。

3.2 人机互动游戏的测试
有5位游客参与到人机关联玩的游戏当中,其中有着ID号是0x62、0x0F的两位游客最终达成了互动游戏的完成,剩余的3位游客游戏面临失利,系统测试所呈现的结果如同图10所展示的那样。

依据上述互动游戏结果图里的 ID 号,提出头像照片,存到(winner)文档路径下,显示互动游戏胜利者的照片,把其指示为互动游戏的胜利者,就像图 11 呈现的那样。

本文给出了一种借助RFID室内定位技术的人机互动游戏方案,运用RFID定位技术达成对游客移动轨迹的追踪,且把它用于游戏互动的识别。本文所提设计已成功用于福建某数字博物馆,在博物馆的控制中心能够经由人机互动界面查看各个场馆内的游客流量,查看游客当前所在场馆,查看在各个场馆的参观时间,以及查看游客参与人机互动游戏的情况,同时该系统还能够连接到地区的物联示范网,提升经济效益,大幅节约成本。
博物馆借助RFID技术,为游客赋予了更具自由特性以及人性化特质的服务,与此同时,还提升了管理人员的工作效率,给博物馆紧急事故的处理创造了便利条件,保障了游客的人身安全,为博物馆带来了更为可观的经济效益,推动了RFID产业的迅速发展。